Binary Tree data structure | Binary tree | B tree | Binay tree
Binary tree is rather different from stack and queue data structures. Stack and queue both are working on sequential access principle, which reduce the speed of working and take time. In this data structure finding and getting data is rather easy than those. Its has a specifics shape for access and analyses data.
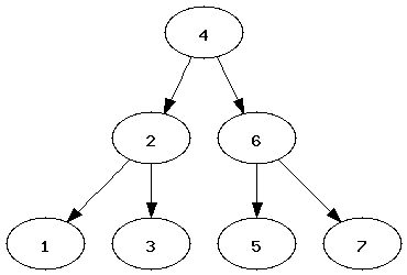
Let's have a look on the structure of binary tree.
Characteristics:
By this certain arrangement data recovery and retrieving become easier.
Let's have a look on the structure of binary tree.
Characteristics:
- Every parent node has its own two daughter node (only two daughters).
- Every left daughter of any parent node must has less value.
- Every right daughter of any parent node must has greater value.
Left side = Small value
Right side = great value
By this certain arrangement data recovery and retrieving become easier.
Pictorial demo. of binary tree


Comments
Post a Comment